我校教师在凝聚态物理研究领域取得重要进展,相关研究成果《Current-induced second harmonic generation of Dirac or Weyl semimetals in a strong magnetic field》和《Suppression of magneto-optical transport in tilted Weyl semimetals by orbital magnetic moment》发表在国际重要学术期刊Physical Review B上,该期刊主要刊登凝聚态物理和材料物理等领域的高水平前沿学术成果,是国际物理学界广泛认可的享有极高学术声誉的经典TOP物理学期刊。论文第1作者是计算机科学与工程学院高阳博士,安徽理工大学为第1完成单位。

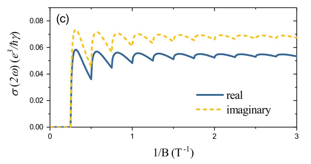
Weyl中二次谐波电导的SDH震荡
该项研究利用玻尔兹曼方程办法,得到强磁场下的Dirac/Weyl费米体系中电流诱导二次谐波电流的解析结果,在理论上首次预言了二次谐波电导的SDH震荡。目前,该论文已被引用15次。


论文作者供图
根据半经典运动方程理论,系统的研究了倾斜Weyl半金属在弱磁场和交变电场下的输运性质,得到了线性和二阶非线性电导的解析结果。发现Weyl半金属轨道磁矩对光电导的抑制现象,该理论结果与之前实验预言的结果一致。
高阳博士2020年北京应用物理与计算数学研究所博士后出站,同年7月入职我校计算机科学与工程学院,主要从事低维电子体系电输运性质的理论研究。主持安徽省教育厅自然科学研究重点项目1项,发表SCI论文9篇,其中以第1作者在PhysicalReviewB,Optics Express等物理领域TOP期刊发表论文6篇。